Notice: Undefined offset: 2 in /home2/icentarb/public_html/icentar/classes/class.permissions.php on line 735
iCentar » Nauka » Matematika » Determinante!Novi zadaci!
senaddoom 29.06.2016 14:26
Predmet:Determinante!Novi zadaci!

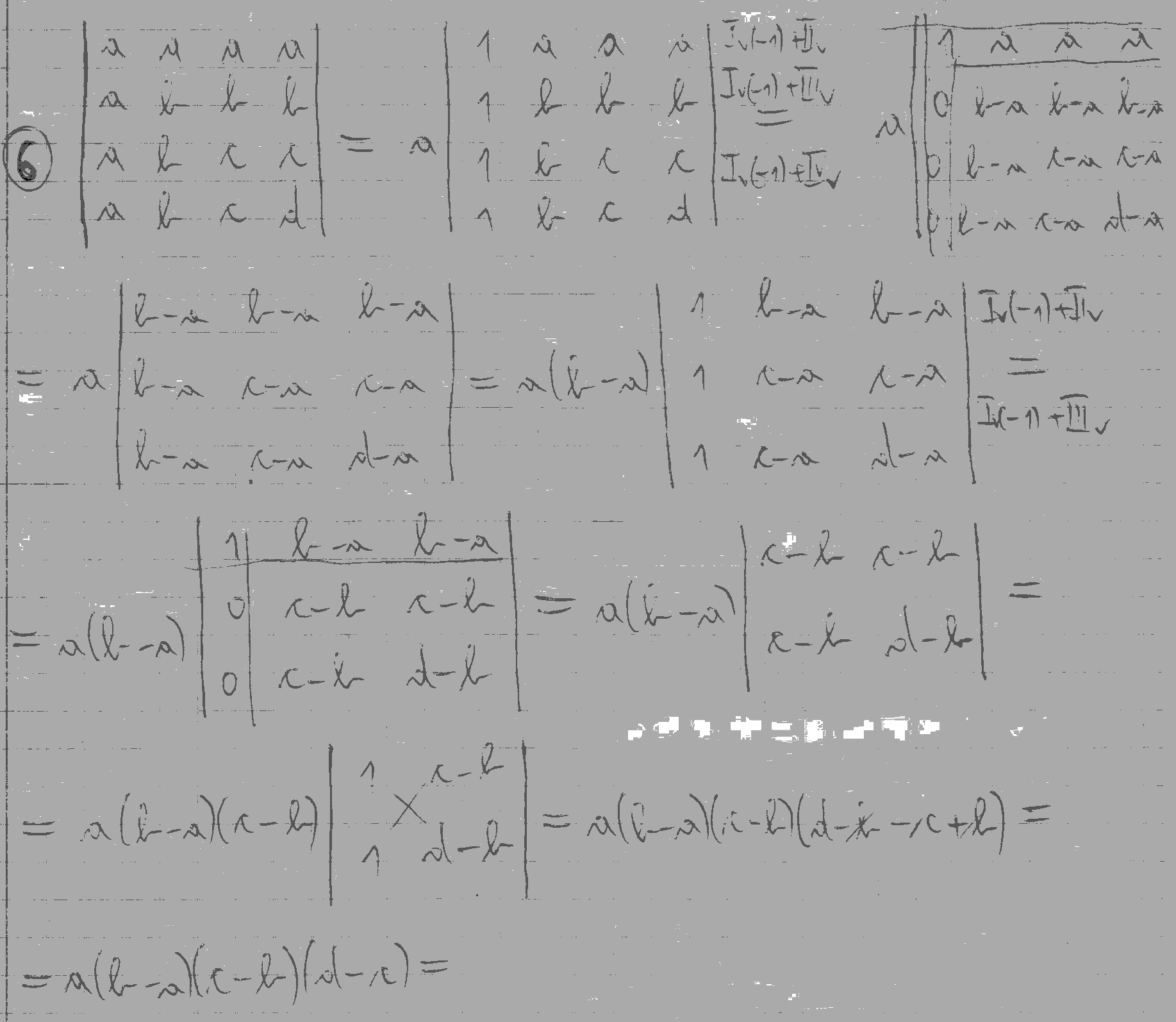
Evo jos dodatnih zadataka iz determinanti! Kod slijedecih primjera imamo neke brojeve iz skupa realnih brojeva. Znaci moramo rijesiti determinantu da bismo dobili neki izraz. Kao sto se vidi na primjeru ti brojevi a,b,c,d mogu biti bilo koji brojevi i postavljeni su u obliku determinante. Da bismo rijesili ovaj primjer moramo primjeniti neke osobine determinante koje su striktno definisane. Kao naprimjer determinanta ne mijenja svoju vrijednost ako joj jednu kolonu ili vrstu pomnozimo sa nekim brojem razlicitim od nule. Ovdje u ovom slijedecem primjerom mozemo izvuci broj a ispred determinante pa nam u prvoj koloni ostaju samo jedinice. Slijedeci korak je posto su nam samo jedinice u prvoj koloni cilj nam je da u toj prvoj koloni imamo jedinicu na "vrhu" tj. da nam clan a11 bude jedan a svi ostali clanovi a21,a31,a41 budu nule. To se dobija tako sto cemo prvu vrstu pomnoziti sa brojem -1 i dodati tu vrstu svakoj slijedecoj vrsti u determinanti, tj sabrat cemo prvu vrstu pomnozenu sa -1 sa drugom vrstom. Kada smo to uradili trebamo da imamo jedinicu samo u prvoj vrsti a ostale 3 vrste su nule kao sto je na slici koju sam postavio. Onda se primjenom Laplasovog razvoja determinanta reda 4x4 svodi na determinantu reda 3x3. Zbog ovih nula koje nam je bio cilj da dobijemo mi ustvari samo "prekrizimo" prvu vrstu i prvu kolonu a ostale clanove koji nisu u presjeku te vrste i kolone su nam ta slijedeca determinanta reda 3x3. Sada vidimo da imamo determinantu reda 3x3 koja ima u prvoj koloni iste clanove tj. b-a koje takodje mozemo izvuci ispred determinante i ponovno nam ostaju jedinice u prvoj koloni. Sada opet ponavljamo isti postupak od ranije. Pomnozimo prvu vrstu sa brojem -1 i tu vrstu dodamo drugoj i trecoj vrsti. Opet dobijema nule i presjekom prve vrste i prve kolone dobijamo determinantu reda 2x2. Sada mozemo samo pomnoziti glavnu i sporednu dijagonalu i dobiti rjesenje te determinante kao sto se vidi iz ovog primjera.
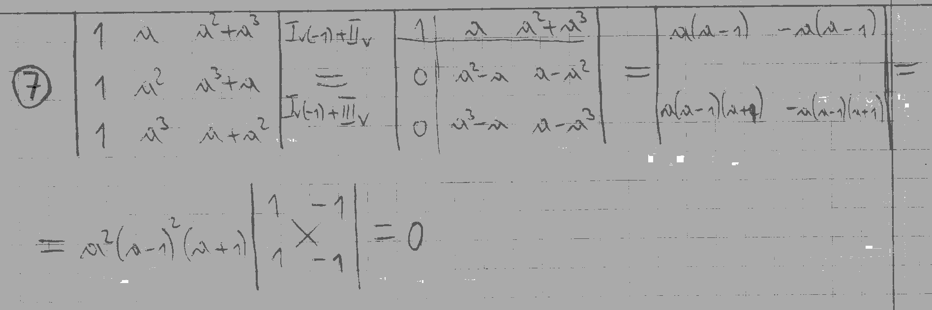
Ovdje sam vam postavio 4 primjera. Za prvi sam vam primjer objasnio cijeli postupak rijesavanja zadaka. Sto se tice ostala 3 primjera oni se rade na isti nacin pa mozete sami izvjezbati za vjezbu.
Prilozi:
02.2.png (Velicina datoteke:57.17 KB)
03.1.png (Velicina datoteke:23.14 KB)
03.2.png (Velicina datoteke:76.33 KB)