Centar za edukaciju-BiH



#1 24.06.2016 11:39
senaddoom Van mreze
Clan
Registrovan od:14.10.2015
Postovi:26


Ocjena: Ocjena:100 Predmet:Determinante!Zadaci!
Evo nekih primjera iz determinanti! Ali prvo da se malo podsjetimo sta su to determinante,tj. da definisemo determinantu. Prije svega da bismo definirali determinantu moramo znati pojmove matrice i sistema linearnih algebarskih jednacina, ali cemo to zasad preskociti pa cu ih u slijedecim postovima objasniti (oni koji vec znaju onda nije problem). Pod determinantom matrice A reda nxn podrazumijevamo jedinstven broj, tj. kvadratnoj matrici reda nxn pridruzujemo jedinstven broj i zovemo ga determinanta matrice A. Na primjer ako imamo sistem linearmih algebarskih jednacina reda 2x2, tj.
a11X+a12Y=b1
a21X+a22Y=b2
tada broj a11a22-a21a12 formiran od elemenata matrice A reda 2x2 zove se determinanta drugog reda i obiljezava se sa detA=a11a22-a21a12
Ovo je malo teoretskog dijela od determinantama ali cu se potruditi da u skorije vrijeme postavim skriptu iz uvoda u visu matematiku pa da neko moze malo detaljnije razumjeti teoretski dio ovog gradiva.
Za prvi primjer iz determinati koji sam prilozio koristimo takozvano Sarusovo pravilo koje vazi samo za determinante reda 3x3 i radi se tako sto se prvo dopisu dvije prve kolone u determinanti reda 3x3 a zatim se brojevi mnoze po dijagonalama, tj. prvo mnozimo brojeve po glavne 3 dijagonale a poslije po sporedne 3. Treba obratiti paznju da kad mnozimo brojeve po sporednim dijagonalama uzimamo jos predznak "-". Poslije kada smo izmnozili brojeve po dijagonalama samo ih saberemo i dobijamo rezultat, tj. rijesenje determinante.
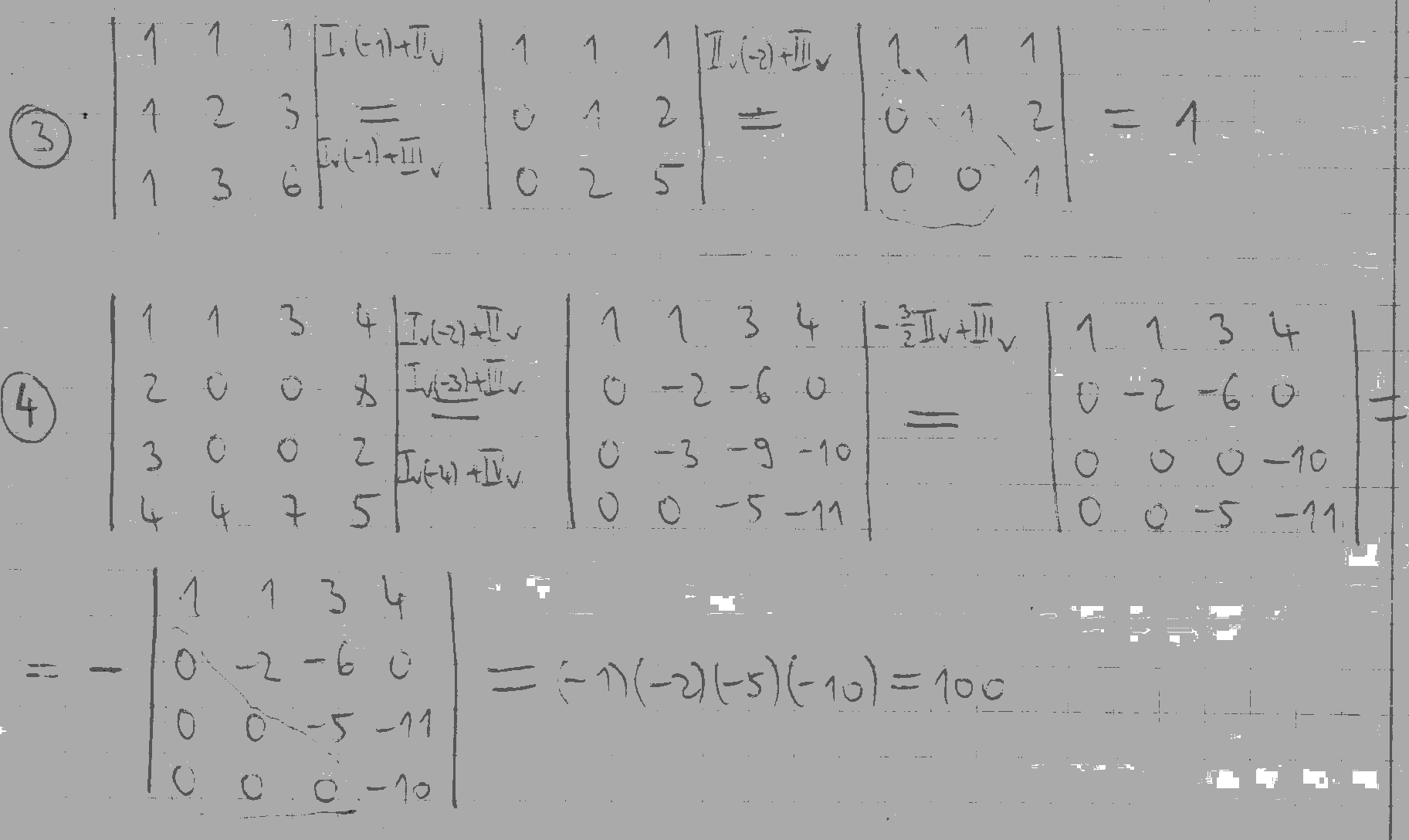
Kod drugog primjera imamo determinantu reda 4x4 i tu nemozemo primjeniti Sarusovo pravilo nego trebamo determinatu svesti na determinante manjeg reda, tj. radi se takozvano razvijanje po vrstama (ili kolonama). Ova metoda rijesavanja determinanti se zove Laplasov razvoj. U ovom drugom primjeru smo determinantu reda 4x4 razvijali po drugom redu jer je najjednostavnije jer ima dvije nule pa ce te dvije determinante pomnozene tim kofaktorima biti jednake nuli jer je iznos kofaktora nula. Znaci druga vrsta determinante ima kofaktore 2, 0, 0 i 8. Eh sad kada rjesavamo ovu determinantu uzmemo prvi kofaktor i u ovom primjeru on se nalazi u presjeku druge vrste i prve kolone, tu vrstu i kolonu "presjecemo" i dobijamo determinantu reda 3x3 pomnozenu tim brojem koji se nalazi u presjeku druge vrste i prve kolone, a elementi determinante reda 3x3 su svi oni brojevi koji se ne nalaze u presjeku ove vrste i kolone. Postupak se nastavlja po citavoj drugoj vrsti jer smo se odlucili da razvijamo po drugoj vrsti pa posto su slijedeca dva broja u ovoj vrsti nule oni se izostavljaju jer ce se te determinante reda 3x3 mnoziti sa nulom i dati razultat nula. Cetvrti clan u ovoj vrsti po kojoj razvijamo je 8 i dobijamo jos jednu determinantu reda 3x3 presjekom druge vrste i cetvrte kolone a elementi te determinante ce biti elementi koji ne pripadaju presjeku te vrste i kolone. Znaci ovu determinantu reda 4x4 smo sveli na dvije determinante reda 3x3 jer smo imali dvije 0 u drugoj koloni. Postupak se nastavlja analogno ovome i svodi na determinante reda 2X2 i onda se sve izracuna i dobija rijesenje. Mogli smo i primjeniti Sarusovo pravilo cim smo dobili determinante reda 3x3. Uglavnom kada god imamo determinantu reda nxn primjenjujemo Laplasov razvoj, a Sarusovo pravilo je samo specifican slucaj kada je determinanta reda 3x3 i lakse je koristiti Sarusovo pravilo. Ovdje sam postavio jos par slicnih primjera pa ako ima nekih pitanja slobodno pitajte ja cu objasniti. Nadam se da ce vam ovi primjeri pomoci pri ucenju rijsavanja determinanti.

Slicice prilozenih slika:
01.1.png
Tip datoteke:Informacije o tipu datoteke za:png png
Preuzimanja:860
Velicina datoteke:39.04 KB
Velicina slike: 1792 x 1452 Pikseli
01.2.png
Tip datoteke:Informacije o tipu datoteke za:png png
Preuzimanja:530
Velicina datoteke:35.95 KB
Velicina slike: 1825 x 1088 Pikseli
02.1.png
Tip datoteke:Informacije o tipu datoteke za:png png
Preuzimanja:546
Velicina datoteke:28.29 KB
Velicina slike: 1693 x 837 Pikseli

↑  ↓

#2 29.06.2016 13:21
senaddoom Van mreze
Clan
Registrovan od:14.10.2015
Postovi:26


Predmet:Re: Determinante!Zadaci!
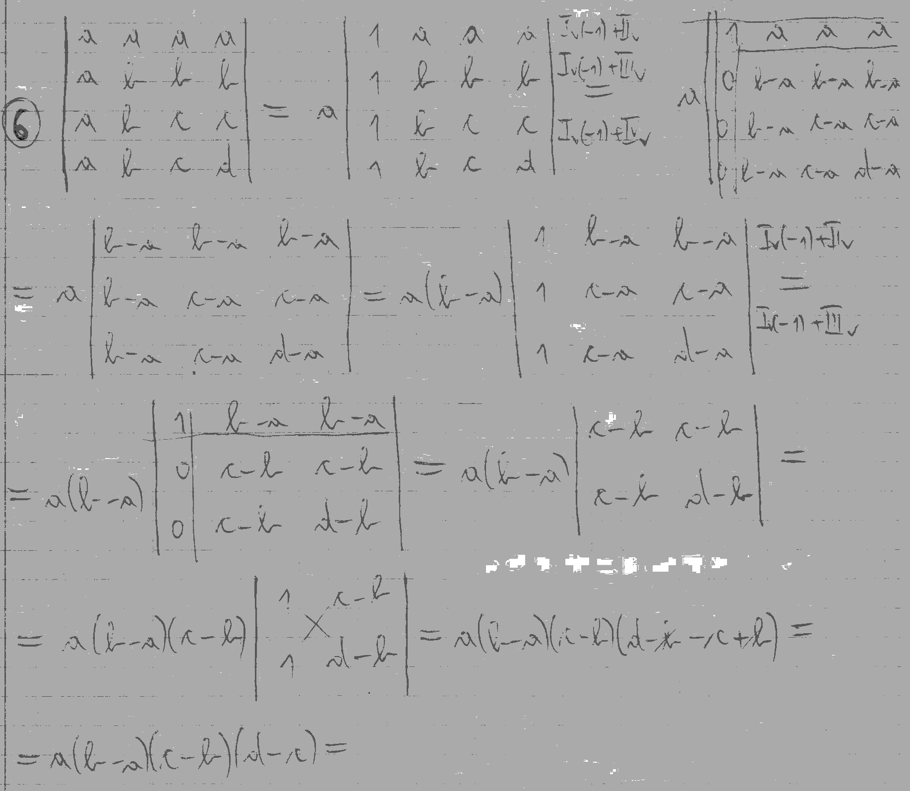
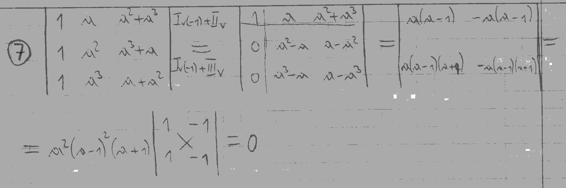
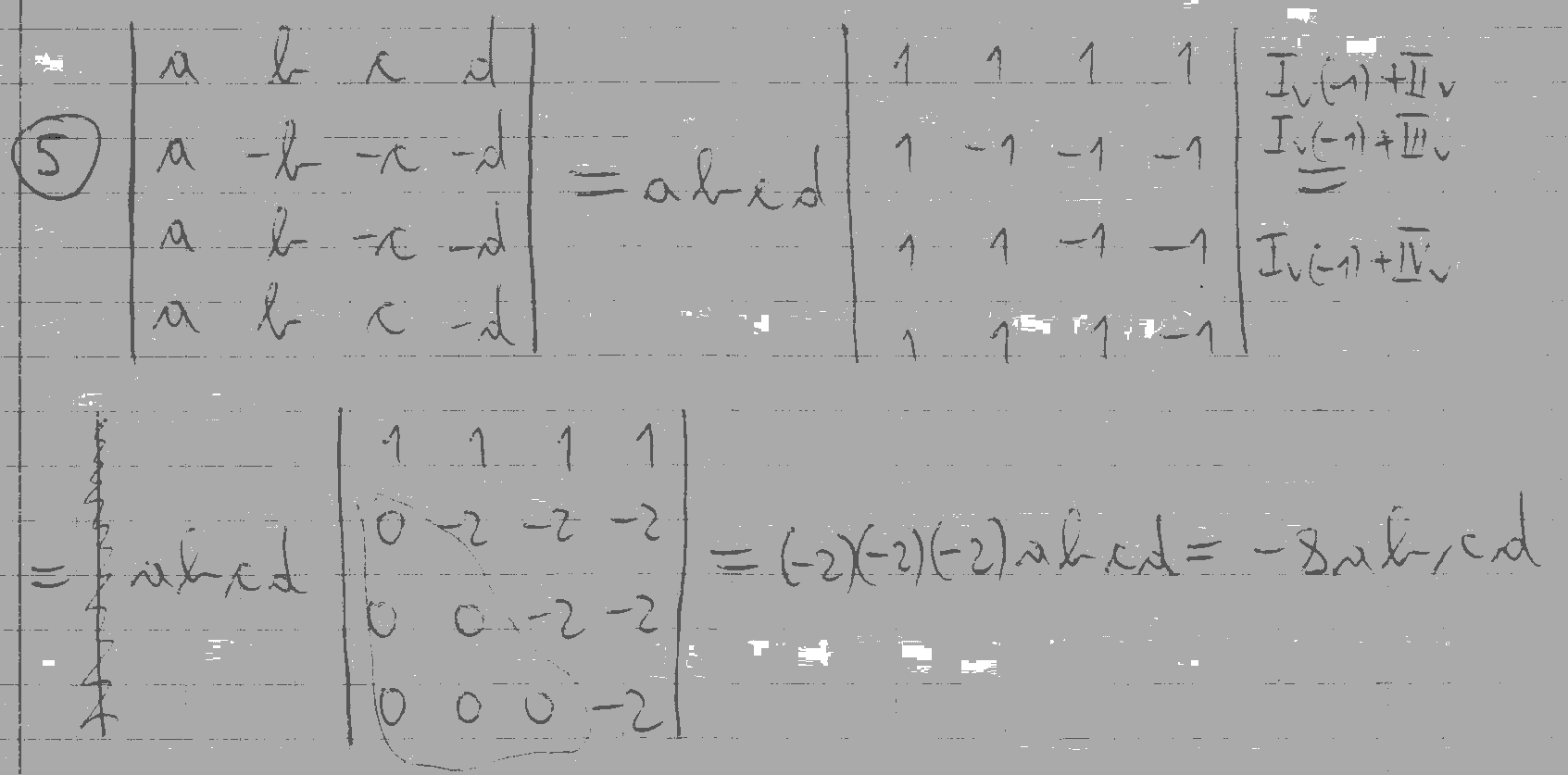
Evo jos dodatnih zadataka iz determinanti! Kod slijedecih primjera imamo neke brojeve iz skupa realnih brojeva. Znaci moramo rijesiti determinantu da bismo dobili neki izraz. Kao sto se vidi na primjeru ti brojevi a,b,c,d mogu biti bilo koji brojevi i postavljeni su u obliku determinante. Da bismo rijesili ovaj primjer moramo primjeniti neke osobine determinante koje su striktno definisane. Kao naprimjer determinanta ne mijenja svoju vrijednost ako joj jednu kolonu ili vrstu pomnozimo sa nekim brojem razlicitim od nule. Ovdje u ovom slijedecem primjerom mozemo izvuci broj a ispred determinante pa nam u prvoj koloni ostaju samo jedinice. Slijedeci korak je posto su nam samo jedinice u prvoj koloni cilj nam je da u toj prvoj koloni imamo jedinicu na "vrhu" tj. da nam clan a11 bude jedan a svi ostali clanovi a21,a31,a41 budu nule. To se dobija tako sto cemo prvu vrstu pomnoziti sa brojem -1 i dodati tu vrstu svakoj slijedecoj vrsti u determinanti, tj sabrat cemo prvu vrstu pomnozenu sa -1 sa drugom vrstom. Kada smo to uradili trebamo da imamo jedinicu samo u prvoj vrsti a ostale 3 vrste su nule kao sto je na slici koju sam postavio. Onda se primjenom Laplasovog razvoja determinanta reda 4x4 svodi na determinantu reda 3x3. Zbog ovih nula koje nam je bio cilj da dobijemo mi ustvari samo "prekrizimo" prvu vrstu i prvu kolonu a ostale clanove koji nisu u presjeku te vrste i kolone su nam ta slijedeca determinanta reda 3x3. Sada vidimo da imamo determinantu reda 3x3 koja ima u prvoj koloni iste clanove tj. b-a koje takodje mozemo izvuci ispred determinante i ponovno nam ostaju jedinice u prvoj koloni. Sada opet ponavljamo isti postupak od ranije. Pomnozimo prvu vrstu sa brojem -1 i tu vrstu dodamo drugoj i trecoj vrsti. Opet dobijema nule i presjekom prve vrste i prve kolone dobijamo determinantu reda 2x2. Sada mozemo samo pomnoziti glavnu i sporednu dijagonalu i dobiti rjesenje te determinante kao sto se vidi iz ovog primjera.
Ovdje sam vam postavio 4 primjera. Za prvi sam vam primjer objasnio cijeli postupak rijesavanja zadaka. Sto se tice ostala 3 primjera oni se rade na isti nacin pa mozete sami izvjezbati za vjezbu.

Slicice prilozenih slika:
02.2.png
Tip datoteke:Informacije o tipu datoteke za:png png
Preuzimanja:470
Velicina datoteke:57.17 KB
Velicina slike: 1835 x 1594 Pikseli
03.1.png
Tip datoteke:Informacije o tipu datoteke za:png png
Preuzimanja:386
Velicina datoteke:23.14 KB
Velicina slike: 1895 x 632 Pikseli
03.2.png
Tip datoteke:Informacije o tipu datoteke za:png png
Preuzimanja:438
Velicina datoteke:76.33 KB
Velicina slike: 1931 x 1988 Pikseli

↑  ↓

Stranice (1):1


Sva vremena su GMT +01:00. Trenutno vrijeme: 5: 59 pm.