Centar za edukaciju-BiH


Stranice (4):1,2,3,4

#21 20.03.2025 09:35
dex Van mreze
Super Moderator
Registrovan od:23.02.2012
Postovi:638


Predmet:Re:ubrzano i usporeno gibanje zadatak
Ne znam odakle ti ova formula za ubrzanje. Nije tacna, a i leva i desna strana nisu dimenziono iste (sabiras babe i zabe). U ovom slucaju imamo tri dela puta i svaki se resava po posebnoj formuli. Prvi deo ravnomerno ubrzano kretanje bez pocetne brzine, drugi kretanje ravnomernom brzinom i treci kocenje, odnosno kretanje sa negativnim konstantnim ubrzanjem i pocetnom brzinom. Za svaki deo puta moras da postavis formulu i onda resavanjem dobijas vrednosti.
↑  ↓

#22 20.03.2025 11:14
Avko Van mreze
Administrator
Registrovan od:28.05.2014
Postovi:4,980


Predmet:Re:ubrzano i usporeno gibanje zadatak
probat cu ponovo. ti samo pregledaj i komentiraj tipa pu kocenja ne valj, zaustavni put itd.

Slicice prilozenih slika:
zadatak_01_dan 05.png
Tip datoteke:Informacije o tipu datoteke za:png png
Preuzimanja:5
Velicina datoteke:60.45 KB
Velicina slike: 1194 x 762 Pikseli


zivot je moja domovina.
Ovaj post je ureden 1 puta. Posljednja izmjena 20.03.2025 11:14 od strane Avko. ↑  ↓

#23 20.03.2025 22:55
dex Van mreze
Super Moderator
Registrovan od:23.02.2012
Postovi:638


Predmet:Re:ubrzano i usporeno gibanje zadatak
Napisao si

t3=-V2/a3

kako vreme moze da bude negativno?
Jedino da kad zamenis brojnu vrednost dva minusa se poniste. Ne razumem sta si mislio.

Isto i kod puta kocenja treba

s3=V2*t3 - (1/2)*a3*t32

Sto se vreme povecava, brzina opada, prelazi sve manji put u jedinici vremena.

Mada kad bolje proanaliziram, i ovo tvoje moze u ovom slucaju da bude tacno ako za brojnu vrednost za a3 uzmes negativnu vrednost - 1.35 m/s2
Ipak bih ti savetovao da kod ovakvih zadataka kod ubrzavanja stavljas plus, a kod kocenja minus, a vrednosti uzimas u apsolutnom iznosu, jer kod dozanja na kvadrat moze da dodje do raznih pretumbacija i dobijes pogresan rezultat.
↑  ↓

#24 21.03.2025 08:21
Avko Van mreze
Administrator
Registrovan od:28.05.2014
Postovi:4,980


Predmet:Re:ubrzano i usporeno gibanje zadatak
mislio sam kod kocenja brzina nam je na kraju 0
0=v2+a3t3 => 0-v2=a3t3 => -v2/a3=t3

a3=-1.35m/s2 deceleracija, kontra od akceleracija
zivot je moja domovina.
↑  ↓

#25 21.03.2025 10:55
dex Van mreze
Super Moderator
Registrovan od:23.02.2012
Postovi:638


Predmet:Re:ubrzano i usporeno gibanje zadatak
Onda ti je taj deo OK Wink
↑  ↓

#26 21.03.2025 10:59
dex Van mreze
Super Moderator
Registrovan od:23.02.2012
Postovi:638


Predmet:Re:ubrzano i usporeno gibanje zadatak
U stvari sve ti je OK, ostaje ti samo da zamenis vrednosti za a1 i a3 i resis
Ovaj post je ureden 1 puta. Posljednja izmjena 21.03.2025 11:00 od strane dex. ↑  ↓

#27 21.03.2025 11:42
Avko Van mreze
Administrator
Registrovan od:28.05.2014
Postovi:4,980


Predmet:Re:ubrzano i usporeno gibanje zadatak
kod onoga zbrajanja i oduzimanja neznam dal sam dobro napravio

Slicice prilozenih slika:
zadatak_01_dan 06.png
Tip datoteke:Informacije o tipu datoteke za:png png
Preuzimanja:2
Velicina datoteke:34.00 KB
Velicina slike: 942 x 505 Pikseli


zivot je moja domovina.
↑  ↓

#28 21.03.2025 13:48
dex Van mreze
Super Moderator
Registrovan od:23.02.2012
Postovi:638


Predmet:Re:ubrzano i usporeno gibanje zadatak
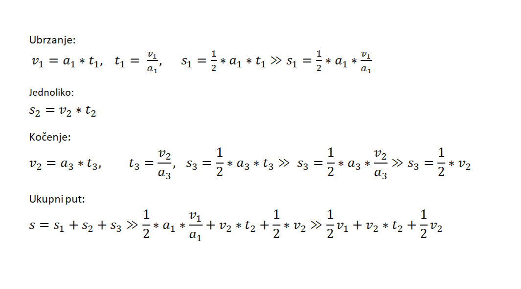
Nisi

V2/2*a1 ide sa minus a

V2/2*a3 ide sa plus, odnosno pojavice se i tu minus kad uneses negativno ubrzanje.

kad od jedne polovine odizmes jedno celo dobijas -1/2
↑  ↓

#29 21.03.2025 13:52
Avko Van mreze
Administrator
Registrovan od:28.05.2014
Postovi:4,980


Predmet:Re:ubrzano i usporeno gibanje zadatak
ockej, idem to proucavat
zivot je moja domovina.
↑  ↓

#30 31.03.2025 00:04
Avko Van mreze
Administrator
Registrovan od:28.05.2014
Postovi:4,980


Predmet:Re:ubrzano i usporeno gibanje zadatak
sta mislish o ovome

Slicice prilozenih slika:
31.03.2025_01.02.53_REC.png
Tip datoteke:Informacije o tipu datoteke za:png png
Preuzimanja:3
Velicina datoteke:27.63 KB
Velicina slike: 1065 x 592 Pikseli


zivot je moja domovina.
↑  ↓

Stranice (4):1,2,3,4


Sva vremena su GMT +01:00. Trenutno vrijeme: 5: 32 am.