Prikazi cijelu temu Danas ,1: 07
zxz Van mreze
Administrator
Registrovan od:03.02.2009
Lokacija:Tuzla


Predmet:Re:Pomoc oko zadatka
Rjesenje sa kvadratnom jednacinom

Prilozi:
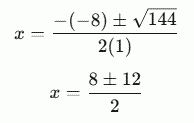
Snimanje-1.gif
Preuzimanja:4
Velicina datoteke:805 Bajt
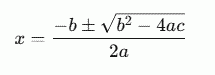
Snimanje-2.gif
Preuzimanja:4
Velicina datoteke:1.69 KB
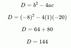
Snimanje-3.gif
Preuzimanja:4
Velicina datoteke:1.16 KB


Podrska samo putem foruma, jer samo tako i ostali imaju koristi od toga.