| dex | 20.03.2025 09:35 |
|---|---|
|
Predmet:Re:ubrzano i usporeno gibanje zadatak Ne znam odakle ti ova formula za ubrzanje. Nije tacna, a i leva i desna strana nisu dimenziono iste (sabiras babe i zabe). U ovom slucaju imamo tri dela puta i svaki se resava po posebnoj formuli. Prvi deo ravnomerno ubrzano kretanje bez pocetne brzine, drugi kretanje ravnomernom brzinom i treci kocenje, odnosno kretanje sa negativnim konstantnim ubrzanjem i pocetnom brzinom. Za svaki deo puta moras da postavis formulu i onda resavanjem dobijas vrednosti. |
|
| Avko | 20.03.2025 11:14 |
|---|---|
|
Predmet:Re:ubrzano i usporeno gibanje zadatak probat cu ponovo. ti samo pregledaj i komentiraj tipa pu kocenja ne valj, zaustavni put itd. |
|
| Prilozi: zadatak_01_dan 05.png (Velicina datoteke:60.45 KB) | |
| dex | 20.03.2025 22:55 |
|---|---|
|
Predmet:Re:ubrzano i usporeno gibanje zadatak Napisao si t3=-V2/a3 kako vreme moze da bude negativno? Jedino da kad zamenis brojnu vrednost dva minusa se poniste. Ne razumem sta si mislio. Isto i kod puta kocenja treba s3=V2*t3 - (1/2)*a3*t32 Sto se vreme povecava, brzina opada, prelazi sve manji put u jedinici vremena. Mada kad bolje proanaliziram, i ovo tvoje moze u ovom slucaju da bude tacno ako za brojnu vrednost za a3 uzmes negativnu vrednost - 1.35 m/s2 Ipak bih ti savetovao da kod ovakvih zadataka kod ubrzavanja stavljas plus, a kod kocenja minus, a vrednosti uzimas u apsolutnom iznosu, jer kod dozanja na kvadrat moze da dodje do raznih pretumbacija i dobijes pogresan rezultat. |
|
| Avko | 21.03.2025 08:21 |
|---|---|
|
Predmet:Re:ubrzano i usporeno gibanje zadatak mislio sam kod kocenja brzina nam je na kraju 0 0=v2+a3t3 => 0-v2=a3t3 => -v2/a3=t3 a3=-1.35m/s2 deceleracija, kontra od akceleracija |
|
| dex | 21.03.2025 10:55 |
|---|---|
|
Predmet:Re:ubrzano i usporeno gibanje zadatak Onda ti je taj deo OK |
|
| dex | 21.03.2025 10:59 |
|---|---|
|
Predmet:Re:ubrzano i usporeno gibanje zadatak U stvari sve ti je OK, ostaje ti samo da zamenis vrednosti za a1 i a3 i resis |
|
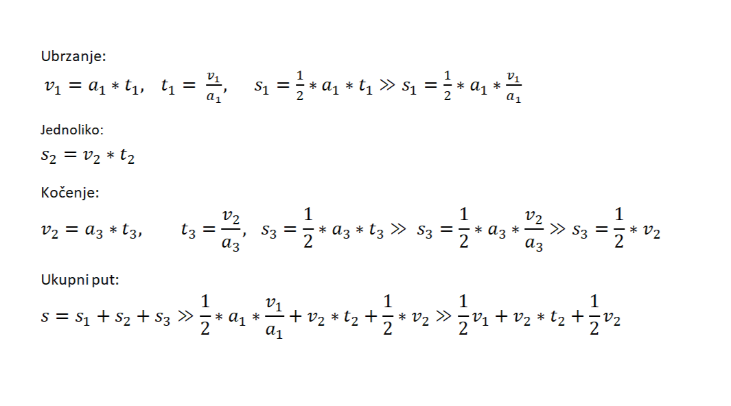
| Avko | 21.03.2025 11:42 |
|---|---|
|
Predmet:Re:ubrzano i usporeno gibanje zadatak kod onoga zbrajanja i oduzimanja neznam dal sam dobro napravio |
|
| Prilozi: zadatak_01_dan 06.png (Velicina datoteke:34.00 KB) | |
| dex | 21.03.2025 13:48 |
|---|---|
|
Predmet:Re:ubrzano i usporeno gibanje zadatak Nisi V2/2*a1 ide sa minus a V2/2*a3 ide sa plus, odnosno pojavice se i tu minus kad uneses negativno ubrzanje. kad od jedne polovine odizmes jedno celo dobijas -1/2 |
|
| Avko | 21.03.2025 13:52 |
|---|---|
|
Predmet:Re:ubrzano i usporeno gibanje zadatak ockej, idem to proucavat |
|
| Avko | 31.03.2025 00:04 |
|---|---|
|
Predmet:Re:ubrzano i usporeno gibanje zadatak sta mislish o ovome |
|
| Prilozi: 31.03.2025_01.02.53_REC.png (Velicina datoteke:27.63 KB) | |