Centar za edukaciju-BiH



#31 03.04.2025 12:35
dex Van mreze
Super Moderator
Registrovan od:23.02.2012
Postovi:638


Predmet:Re:ubrzano i usporeno gibanje zadatak
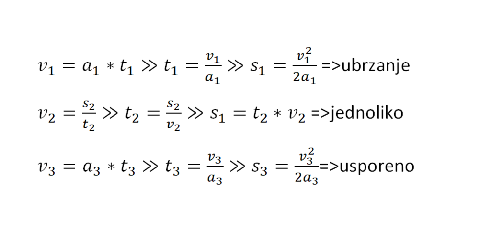
Kod puta ubrzanja i puta kocenja vreme treba da deignes na kvadrat. Brzina ti je u sva 3 slucaja ista, odnosno to je maximalna brzina
↑  ↓

#32 03.04.2025 14:14
Avko Van mreze
Administrator
Registrovan od:28.05.2014
Postovi:4,980


Predmet:Re:ubrzano i usporeno gibanje zadatak
ovo u redu?

Slicice prilozenih slika:
03.04.2025_15.13.23_REC.png
Tip datoteke:Informacije o tipu datoteke za:png png
Preuzimanja:2
Velicina datoteke:44.89 KB
Velicina slike: 979 x 471 Pikseli


zivot je moja domovina.
↑  ↓

#33 03.04.2025 15:30
dex Van mreze
Super Moderator
Registrovan od:23.02.2012
Postovi:638


Predmet:Re:ubrzano i usporeno gibanje zadatak
OK, ali kao sto sam rekao

V1=V2=V3=Vmax
↑  ↓

#34 04.04.2025 10:54
Avko Van mreze
Administrator
Registrovan od:28.05.2014
Postovi:4,980


Predmet:Re:ubrzano i usporeno gibanje zadatak
moze ovo proci za dalje?

Slicice prilozenih slika:
04.04.2025_11.53.54_REC.png
Tip datoteke:Informacije o tipu datoteke za:png png
Preuzimanja:3
Velicina datoteke:20.73 KB
Velicina slike: 1048 x 370 Pikseli


zivot je moja domovina.
↑  ↓

#35 06.04.2025 21:46
dex Van mreze
Super Moderator
Registrovan od:23.02.2012
Postovi:638


Predmet:Re:ubrzano i usporeno gibanje zadatak
Ako sam dobro protumacio mislim da je OK, samo kod drugog clana u zagradi ti treba

(tuk - v2/(2*a1) - v2/(2*a2))

gde je tuk ukupno vreme koje je dato

Jer je tuk = t1 + t2 + t3

odakle sledi t2 = tuk - t1 - t3

Ono /2*a1a2 pretpostavljam da je mnozenje leve i desne strane da bi se izgubio razlomak, sto je OK
↑  ↓

Stranice (4):1,2,3,4


Sva vremena su GMT +01:00. Trenutno vrijeme: 10: 59 am.